
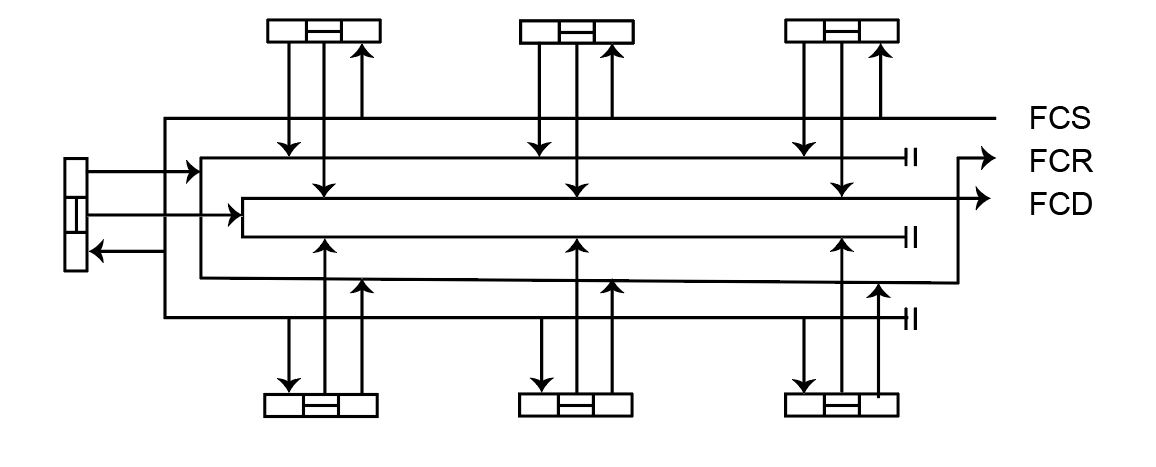
FCU (Fan Coil Unit)
FCR (팬코일 냉각환수)
FCD (팬코일 드레인)
FCS (팬코일 냉수공급)
SRD >> Redemption 으로 외우기
각 FCU에서 배관까지의 거리는 일정해야함
'공조 개념정리' 카테고리의 다른 글
| 공조기사 2단압축, 1단팽창 냉동사이클 (1) | 2023.10.31 |
|---|---|
| 공조기사 2중 효용 흡수식 냉동기 (2) | 2023.10.26 |
| 공조기사 공조방식 (0) | 2023.10.23 |
| 공조기사 냉동계통도와 배관도 (0) | 2023.10.17 |
| 공조기사 압축기PH선도 (0) | 2023.10.16 |